合作客戶/
拜耳公司 |
同濟大學 |
聯合大學 |
美國保潔 |
美國強生 |
瑞士羅氏 |
相關新聞Info
-
> 基于表面張力系數等模擬液滴撞擊熱壁面的動力學行為(一)
> 列舉幾個生活中表面張力現象【表面張力在工業生活中的應用】
> 溫度、截斷半徑、模擬分子數對水汽液界面特性的影響規律(二)
> 不同溫度下手性離子液體及二元混合物的密度和表面張力(下)
> 基于微納米二氧化硅粒子薄膜制備超疏水滌綸織物
> 覆蓋有疏水網的開放管道液體輸運穩定性研究(下)
> 人工沖洗升級為超聲波清洗,可改善新能源電池沖壓配件的表面張力
> 新研究的海水基耐高溫驅油壓裂液界面張力值等性能優于常規驅油壓裂液產品
> 不同溫度對氫氟醚HFE7000、HFE7200表面張力和黏度影響(二)
> 表面張力儀符合國內、國際的標準
推薦新聞Info
-
> ?2,3-雙八氟戊烷基甘油醚-1-硫酸酯鈉的合成路線、表面張力及乳化性能(一)
> ?2,3-雙八氟戊烷基甘油醚-1-硫酸酯鈉的合成路線、表面張力及乳化性能(三)
> ?2,3-雙八氟戊烷基甘油醚-1-硫酸酯鈉的合成路線、表面張力及乳化性能(二)
> 界面張力為22mN/m的柴油-水分離濾紙振動特性研究(三)
> 界面張力為22mN/m的柴油-水分離濾紙振動特性研究(二)
> 界面張力為22mN/m的柴油-水分離濾紙振動特性研究(一)
> 超低界面張力環保型高溫高鹽油藏的驅油表面活性劑配方比例及制備(二)
> 超低界面張力環保型高溫高鹽油藏的驅油表面活性劑配方比例及制備(一)
> 表面張力和接觸角的關系|寶玉石接觸角的測量結果和表面張力計算方法(三)
> 表面張力和接觸角的關系|寶玉石接觸角的測量結果和表面張力計算方法(二)
雙子型起泡劑ULT-1的分子結構式、表面張力、抗溫/抗鹽性能及煤樣潤濕性變化——實驗
來源:中南大學學報(自然科學版) 瀏覽 461 次 發布時間:2025-08-26
2實驗
2.1材料與儀器
材料有:1-十二烷醇C12H25OH,化學純,濟寧宏明化學試劑有限公司生產;四丁基硫酸氫銨(TBAHS)Bu4NHSO4,分析純,天津致遠化學試劑有限公司;1,3-丙二醇HOCH2CH2CH2OH,分析純,濟寧宏明化學試劑有限公司生產;環氧氯丙烷C3H5ClO,化學純,濟寧宏明化學試劑有限公司生產;氫氧化鈉NaOH,分析純,濟寧宏明化學試劑有限公司生產;無水乙醇C?H?OH,化學純,濟寧宏明化學試劑有限公司生產;BF3-乙醚溶液,北京化工廠生產;氯磺酸HSO3Cl,化學純,成都化夏化學試劑有限公司生產;去離子水,分析純,實驗室自制。
儀器有:傅里葉變換紅外光譜儀,高分辨質譜儀,Bruker公司制造;接觸角/表面張力測量儀,芬蘭Kibron公司制造;高速變頻無級調速攪拌機,青島同春石油儀器有限公司制造;電熱恒溫鼓風干燥箱,電動攪拌機,數控恒溫油水浴鍋,旋轉蒸發儀,北京神泰偉業科技有限公司制造;電子天平,上海舜宇恒平科學儀器有限公司制造;三口燒瓶、恒壓滴液漏斗、量筒、分液漏斗、燒杯、錐形瓶、球形冷凝管、保溫漏斗、酒精燈。
2.2起泡劑ULT-1的合成
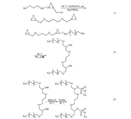
在三口燒瓶中加入1,3-丙二醇、環氧氯丙烷和四丁基硫酸氫銨,在40~50℃下攪拌。用恒壓滴液漏斗滴加質量分數為50%NaOH水溶液,繼續在40~60℃攪拌2 h。用分液漏斗分出上層有機相,加入乙醇,熱過濾除去無機鹽,旋蒸除去乙醇和環氧氯丙烷,干燥得到環氧醚。在三口燒瓶中加入1-十二醇,BF3-乙醚溶液,攪拌片刻升溫至30~40℃,在攪拌條件下逐滴加入上步產物環氧醚,滴完后升溫至60~80℃,攪拌5 h,用分液漏斗分出上層有機相,旋蒸除去十二醇和環氧醚,干燥得到醇醚。在三口燒瓶中加入上步產物醇醚,攪拌,在10~20℃時非常緩慢地滴加氯磺酸,采用尾氣回收裝置除去氯化氫氣體,攪拌3 h,加入乙醇,熱過濾除去無機鹽,旋蒸除去乙醇,干燥得到最終產物起泡劑ULT-1。反應原理如下列:
2.3起泡劑ULT-1的結構表征
1)紅外光譜分析。將中間產物環氧醚和醇醚采用液膜法制樣,新型起泡劑ULT-1采用溴化鉀壓片法制樣,利用傅里葉變換紅外光譜儀表征其分子結構。
2)質譜分析。將研制的新型起泡劑ULT-1用甲醇溶解,利用高分辨質譜儀采用電噴霧質譜法(ESI?MS)表征其分子結構。
2.4起泡劑ULT-1的性能評價
1)表面張力。在室溫下,利用接觸角/表面張力測量儀,通過最大拉力法測定一系列不同質量分數起泡劑ULT-1水溶液的表面張力。
2)起泡性能。在室溫下,參照中國石油天然氣行業標準SY/T 5350—2009“鉆井液用發泡劑評價程序”的測試方法,評價一系列不同質量分數起泡劑ULT-1水溶液的起泡性能,包括發泡體積和半衰期,同時評價常規起泡劑十二烷基硫酸鈉、十二烷基苯磺酸鈉、十二烷基二甲基甜菜堿的泡沫半衰期進行對比。
3)抗鹽性能。在室溫下,參照中國石油天然氣行業標準SY/T 5350—2009“鉆井液用發泡劑評價程序”的測試方法,評價質量分數0.2%的起泡劑ULT-1水溶液抗NaCl污染的能力。
4)抗溫性能。在一定溫度下,參照中國石油天然氣行業標準SY/T 5350—2009“鉆井液用發泡劑評價程序”的測試方法,評價質量分數為0.2%的起泡劑ULT-1水溶液的抗溫性能。
5)煤樣潤濕性。在室溫下,利用接觸角/表面張力測量儀,通過五點擬合法分別測量純水在原始煤樣(煤樣A)、質量分數為0.2%的起泡劑ULT-1水溶液浸泡1 h烘干的煤樣(煤樣B)、質量分數為0.2%的起泡劑ULT-1水溶液浸泡1 h后,低速水流沖洗1 h烘干的煤樣(煤樣C)表面的接觸角,測定起泡劑ULT-1對煤樣潤濕性能的影響。實驗中所用煤樣取自滇東黔西地區,需經過以下步驟處理:用砂紙(6μm)將各個煤塊的上下兩面磨至水平,再用細毛刷清除研磨時掉下的黏附在煤面上的煤粒和砂粒,然后用細砂紙(1.8μm)將各個煤塊的上、下兩面磨至光滑,進行拋光處理,最后用細毛刷清除研磨時掉下的黏附在煤面上的煤粒和砂粒,得到上、下兩面水平光滑的待測煤樣。
雙子型起泡劑ULT-1的分子結構式、表面張力、抗溫/抗鹽性能及煤樣潤濕性變化——摘要





