合作客戶/
拜耳公司 |
同濟大學 |
聯合大學 |
美國保潔 |
美國強生 |
瑞士羅氏 |
相關新聞Info
推薦新聞Info
-
> ?2,3-雙八氟戊烷基甘油醚-1-硫酸酯鈉的合成路線、表面張力及乳化性能(一)
> ?2,3-雙八氟戊烷基甘油醚-1-硫酸酯鈉的合成路線、表面張力及乳化性能(三)
> ?2,3-雙八氟戊烷基甘油醚-1-硫酸酯鈉的合成路線、表面張力及乳化性能(二)
> 界面張力為22mN/m的柴油-水分離濾紙振動特性研究(三)
> 界面張力為22mN/m的柴油-水分離濾紙振動特性研究(二)
> 界面張力為22mN/m的柴油-水分離濾紙振動特性研究(一)
> 超低界面張力環保型高溫高鹽油藏的驅油表面活性劑配方比例及制備(二)
> 超低界面張力環保型高溫高鹽油藏的驅油表面活性劑配方比例及制備(一)
> 表面張力和接觸角的關系|寶玉石接觸角的測量結果和表面張力計算方法(三)
> 表面張力和接觸角的關系|寶玉石接觸角的測量結果和表面張力計算方法(二)
牛血清白蛋白對表面的影響離子液體型雙子表面活性劑的性質——結果和討論
來源:上海謂載 瀏覽 2459 次 發布時間:2021-11-24
3. 結果和討論
通過測定[C10-4-C10im]Br2在三種不同溫度下的表面張力(γ),研究了BSA對[C10-4-C10im]Br2表面性質的影響。 測量在[C10-4-C10im]Br2濃度范圍0.56至6.57 mM內進行。 圖1顯示了在不同溫度下不存在和存在不同濃度BSA時[C10-4-C10im]Br2的表面張力與對數濃度的曲線圖。 如圖1所示,在所有情況下,隨著[C10-4-C10im]Br2濃度的增加,溶液的表面張力逐漸降低,直至達到一個平臺區域,在該平臺區域上方,幾乎獲得一個恒定值。 根據表面張力與對數濃度曲線的交點確定不同溫度下的CMC值,并在表1中列出。 從圖表中獲得的CMC值幾乎等于Ao等人獲得的值。[63]表面張力曲線顯示[C10-4-C10im]Br2的CMC隨著溫度以及BSA濃度的增加而增加(圖2)。 結果與文獻數據(Ao等人[63]和耿等人[65])一致。 一般認為,離子型兩親分子的CMC首先在低溫下降低,然后在高溫下升高[66],而非離子表面活性劑的CMC則呈現相反的趨勢。[67]在某些情況下,離子型系統的CMC也會隨著溫度的升高而持續升高。[68,69]
圖1. 不同溫度下[C10-4-C10im]Br2的CMC隨BSA濃度的變化。
圖2. 在含有(a)0(b)5,(c)20和(d)50μM BSA的水溶液中,表面張力(γ)與log[C10-4-C10im]Br2的關系。
觀察到[C10-4-C10im]Br2的表面張力(γ)隨著溫度和BSA濃度的升高而降低。 [C10-4-C10im]Br2的這種行為是由于溫度升高破壞了表面活性劑的分子間氫鍵,從而增加了親水基團的水合作用,從而降低了表面張力并延遲了膠束化過程[70], 溫度升高會改變疏水基團周圍的水合層,從而通過減緩表面活性劑分子在空氣/水界面的膠束化來加速表面活性劑分子的吸附。[71]
隨著BSA濃度的增加,CMC值的增加是由于膠束化所需的[C10-4-C10im]Br2單體的數量減少,因為它們與BSA形成復合物,而不是形成膠束。 這個數字隨著BSA濃度的增加而不斷增加,因為與BSA結合需要更多的分子。 BSA-[C10-4-C10im]Br2體系的表面張力值低于相應的[C10-4-C10im]Br2體系,這是由于BSA-[C10-4-C10im]Br2絡合物具有較高的表面活性。[72]如果我們必須單獨分析每種情況,即在固定的BSA濃度下, 觀察到CMC值隨溫度升高而增加,這表明在CMC附近,[C10-4-C10im]Br2與BSA的結合取決于疏水相互作用。[65,73]
3.1. 界面參數
3.1.1. 最大表面過量濃度(Γmax)
Γmax說明了表面活性劑分子在空氣-水界面上的累積,可以使用吉布吸附方程計算[73]
式中,γ是表面張力,Γmax是飽和吸附量(單位:mol/m2),n是[C10-4-C10im]Br2的每個分子的粒子數,其值取3,因為它是二聚表面活性劑,[74]R是氣體常數(8.314 Jmol-1K-1),T是絕對溫度(單位:開爾文),C是表面活性劑濃度,以及 (δγ/δlogC)項表示預膠束區的γ-對數C曲線斜率。表1列出了所有系統中[C10-4-C10im]Br2的Γmax計算值。
表1.[C10-4-C10im]Br2在不同溫度下存在不同濃度BSA時的界面參數。
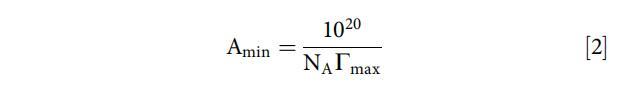
3.1.2.每個分子的最小面積(Amin)
空氣-水界面處的Amin可使用關系式[73]進行計算
式中,NA為阿伏伽德羅數。表1總結了Amin值。結果表明,隨著溫度和BSA濃度的升高,Γmax減小,而Amin增大。然而,在存在20μM BSA的情況下,觀察到相反的趨勢,這可能是由于與BSA形成兩種不同類型的復合物 隨著溫度的升高,[C10-4-C10im]Br2主要通過靜電和疏水作用與BSA結合,從而增加了分子的寬度和面積,減少了分子的表面過剩量。[75]
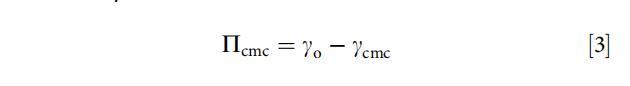
3.1.3.CMC下的表面壓力(πCMC)
計算∏cmc是為了確定[C10-4-C10im]Br2在不同溫度和BSA濃度下的有效性,使用以下關系式。[76]它進一步用于計算各種系統中[C10-4-C10im]Br2的熱力學參數。
式中,γo和γcmc是溶劑系統的表面張力和溶液在cmc值下的表面張力。如表1所示,[C10-4-C10im]Br2的∏cmc值隨BSA的溫度和濃度的增加而增加。這表明溫度和BSA都增加了[C10-4-C10im]的有效性 然而,如果我們單獨分析每種情況,[C10-4-C10im]Br2系統的有效性隨著溫度的升高而增加,而BSA-[C10-4-C10im]Br2系統的有效性隨著溫度的升高而降低。
表面自由能(Gmin)定義為自由能的變化,伴隨著溶液組分從本體相到表面相的轉變,并通過以下方程式計算。[77]
Gs min的值與形成的表面或表面活性的穩定性成反比。在所有實驗溫度下,所有系統獲得的Gmin值都較低(表1)。Gmin的較低值表明將形成熱力學上更穩定的表面。這表明穩定的表面形成和分子間的良好相互作用 [C10-4-C10im]Br2和BSA。[78]
3.2.熱力學參數
計算了在不同濃度和溫度下[C10-4-C10im]Br2在不存在和存在BSA的情況下的膠束化和吸附熱力學參數,以確定溫度和BSA濃度的升高是否有利于膠束化(本體相濃度)或吸附 [C10-4-C10im]Br2的(界面濃度)。使用以下關系式計算各種熱力學參數。[79]
式中,XCMC是CMC的摩爾分數單位值。 由此獲得的熱力學參數值如膠束化標準自由能(DG0m)和吸附標準自由能(DG0 ads)、膠束化焓(DH0m)和吸附焓(DH0 ads)以及膠束化熵(DS0m)和吸附熵(DS0 ads)如表2所示。 觀察到,與其他表面參數一樣; 熱力學參數也隨溫度和BSA濃度的變化而變化。 在我們的例子中,膠束化和吸附過程的DG0都是負值。 與膠束化相比,吸附自由能值隨溫度和BSA濃度的變化更大(圖3)。 觀察到DG0-ads比DG0-m更負,并且這種負性隨著BSA濃度的增加而不斷增加,這表明[C10-4-C10im]的吸附 空氣/水界面上的Br2分子比其在體相中的膠束化更為突出,添加BSA通過與[C10-4-C10im]Br2形成一個在性質上更具表面活性的絡合物來增強這種吸附過程(如我們之前的結果所述)。 此外,隨著溫度的升高,DG0 ads的負性增加超過DG0 m,這表明熱攪拌有利于吸附而不是膠束化。 這種效應是由于高溫下疏水鏈的水化分解而產生的,而水化分解反過來會在[C10-4-C10im]Br2分子之間產生排斥作用。[80]
圖3. 在不同溫度下,DG0 m和DG0 ads隨BSA濃度的變化。
表2. [C10-4-C10im]Br2在不同溫度下吸附和膠束化的熱力學參數與BSA濃度的關系。

所有系統的膠束化焓均為負值,而[C10-4-C10im]Br2系統的吸附焓為正值,BSA-[C10-4-C10im]Br2系統的吸附焓為負值。 在所有情況下,膠束化焓和吸附焓均隨溫度的升高而降低。 這表明,膠束化過程在所有情況下均為放熱過程,而吸附過程僅在[C10-4-C10im]Br2系統中為吸熱過程,而在BSA-[C10-4-C10im]Br2系統中為放熱過程。 溫度對兩個過程的焓的影響相似。 膠束化和吸附的熵也以類似的方式變化。 膠束化熵的正值對DG0 m的負值負責,這表明膠束化過程在所有情況下都是熵驅動的。 [C10-4-C10im]Br2系統的吸附熵正值和BSA-[C10-4-C10im]Br2系統的吸附熵負值表明,[C10-4-C10im]Br2系統的吸附過程是熵驅動的,而BSA-[C10-4-C10im]Br2系統的吸附過程是焓驅動的。
牛血清白蛋白對表面的影響離子液體型雙子表面活性劑的性質——摘要、介紹
牛血清白蛋白對表面的影響離子液體型雙子表面活性劑的性質——材料和方法
牛血清白蛋白對表面的影響離子液體型雙子表面活性劑的性質——結果和討論
牛血清白蛋白對表面的影響離子液體型雙子表面活性劑的性質——結論、致謝!





