合作客戶/
拜耳公司 |
同濟大學 |
聯合大學 |
美國保潔 |
美國強生 |
瑞士羅氏 |
相關新聞Info
推薦新聞Info
-
> 工業廢胺衍生捕收劑的表面張力行為及其在鐵礦反浮選中的應用(三)
> 工業廢胺衍生捕收劑的表面張力行為及其在鐵礦反浮選中的應用(二)
> 工業廢胺衍生捕收劑的表面張力行為及其在鐵礦反浮選中的應用(一)
> ?2,3-雙八氟戊烷基甘油醚-1-硫酸酯鈉的合成路線、表面張力及乳化性能(一)
> ?2,3-雙八氟戊烷基甘油醚-1-硫酸酯鈉的合成路線、表面張力及乳化性能(三)
> ?2,3-雙八氟戊烷基甘油醚-1-硫酸酯鈉的合成路線、表面張力及乳化性能(二)
> 界面張力為22mN/m的柴油-水分離濾紙振動特性研究(三)
> 界面張力為22mN/m的柴油-水分離濾紙振動特性研究(二)
> 界面張力為22mN/m的柴油-水分離濾紙振動特性研究(一)
> 超低界面張力環保型高溫高鹽油藏的驅油表面活性劑配方比例及制備(二)
聚氧乙烯鏈長度調控非離子Gemini表面活性劑的表面張力、接觸角(三)
來源:高等學校化學學報 瀏覽 913 次 發布時間:2024-12-20
2結果與討論
2.1非離子Gemini表面活性劑的合成與結構表征
圖1為2,5,8,11-四甲基~6-十二炔~5,8-二醇、P1、P2、P3和P4的FTIR譜圖。
4種Gemini表面活性劑均在1098 cm?1處出現C—O—C的伸縮振動峰,而2,5,8,11-四甲基~6-十二炔~5,8-二醇與環氧乙烷在1098 cm?1處未出現伸縮振動峰,表明環氧乙烷成功聚合。采用3種方法對表面活性劑環氧乙烷的聚合度(DPm)進行表征:(1)通過將產物質量與2,5,8,11-四甲基~6-十二炔~5,8-二醇質量的差值除以環氧乙烷的摩爾質量,得到聚合的環氧乙烷的摩爾數。根據環氧乙烷的摩爾數與2,5,8,11-四甲基~6-十二炔~5,8-二醇的摩爾數的比值確定環氧乙烷的聚合度;(2)利用1H NMR譜圖上聚氧乙烯鏈上亞甲基氫的積分面積來計算環氧乙烷的聚合度;(3)利用凝膠滲透色譜(GPC)技術測定樣品的數均分子量(Mn),用Mn與2,5,8,11-四甲基~6-十二炔~5,8-二醇的摩爾質量的差值除以環氧乙烷的摩爾質量,計算出環氧乙烷的聚合度。利用方法(1),計算得到P1,P2,P3和P4的環氧乙烷的聚合度分別為3.7,7.4,10.6和14.4;利用方法(2),從1H NMR譜圖(圖S1——S4)上可以看出4個產物分別在δ3.45——3.86,3.42——3.99,3.47——3.89和3.48——3.92處出現聚氧乙烯鏈上亞甲基的氫,通過積分面積計算得到P1,P2,P3和P4的環氧乙烷的聚合度分別為4,8,10和14;利用方法(3),通過GPC對4種表面活性劑的分子量表征結果(計算得到P1,P2,P3和P4的環氧乙烷的聚合度分別為4.8,9.2,10.3和14.3.3種分析方法得到環氧乙烷聚合度的結果顯示出高度的一致性。
2.2表面張力性能
為研究4種非離子Gemini表面活性劑的表面活性,采用液滴體積法測定了不同濃度下的表面張力。圖2示出P1,P2,P3和P4的溶液表面張力與濃度對數的關系。溶液的表面張力隨濃度的增加而降低,當溶液的濃度高于cmc后,表面張力達到最低值并基本趨于穩定。這是由于隨著表面活性劑濃度的升高,在氣/液界面上吸附的表面活性劑分子數量增多,界面上的分子排列越來越緊密,表面張力持續下降;當表面活性劑濃度達到cmc后,溶液內部的分子開始聚集形成膠束聚集體,表面活性劑分子在界面上達到飽和吸附,因此cmc之后表面張力趨于穩定。
由圖2可知,P1,P2,P3和P4的cmc分別為8.51×10-4,1.44×10-3,2.27×10-3和2.72×10-3 mol/L;γcmc分別為27.97,27.19,27.49和31.19 mN/m.可見,隨著聚氧乙烯鏈長度的增加,4種非離子Gemini表面活性劑的cmc逐漸增加,這是由于隨著聚氧乙烯鏈長度的增加,表面活性劑的疏水作用減弱,不利于膠束的形成。γcmc隨著聚氧乙烯鏈長度的增加先減小后增加,其中P2的γcmc最低,為27.19 mN/m,這可能是由于P2分子內部的親水性和疏水性達到了平衡,能穩定排列在氣/液界面上,降低表面張力的能力最強。P2,P3和P4的γcmc隨著聚氧乙烯鏈長度的增加逐漸升高,這是由于親水性聚氧乙烯鏈長度的增加使得表面活性劑分子在水溶液中卷曲程度增大,在界面處占據的空間增大,降低了分子在界面上的鋪展緊密度,從而導致γcmc升高。
為進一步研究表面活性劑在空氣/水界面處的聚集和吸附狀態,通過數據擬合計算得出Γmax,Amin,pc20,ΔG0m ic和ΔG0a ds等表面特性參數。由表1可見,隨著聚氧乙烯鏈長度的增加,Γmax逐漸降低,Amin逐漸增加,這是由于親水鏈較長的表面活性劑分子可能會發生纏繞或者折疊,導致每個分子在氣/液界面上所占據的面積增大,從而降低了表面活性劑分子在界面處的吸附量。
pc20是水表面張力降低20 mN/m時所需要的表面活性劑濃度的負對數,用于表征表面活性劑分子的吸附效率。通常,表面活性劑的pc20越大,降低水表面張力的效率越高。4種非離子Gemini表面活性劑中P2的pc20最大,表明P2降低水表面張力的效率最強。用cmc/c20表征表面活性劑膠束化和界面吸附的相對趨勢:cmc/c20值越大,說明表面活性劑分子越傾向于在界面處發生吸附,而不是在溶液內部形成膠束。與表面活性劑P2,P3和P4相比,P1的cmc/c20值最小,更傾向于在溶液內部形成膠束,這與P1的cmc值最低相一致。
利用ΔG0a ds和ΔG0m ic表征表面活性劑的熱力學性質。P1,P2,P3和P4的ΔG0a ds和ΔG0m ic均小于0,說明表面活性劑在氣/液界面層上的吸附行為以及在水溶液中形成膠束的行為是自發進行的。4種表面活性劑的ΔG0a ds均小于ΔG0m ic,表明表面活性劑分子在溶液中會先形成吸附層,當氣/液界面吸附達到飽和狀態后才開始在溶液內部形成膠束聚集體。
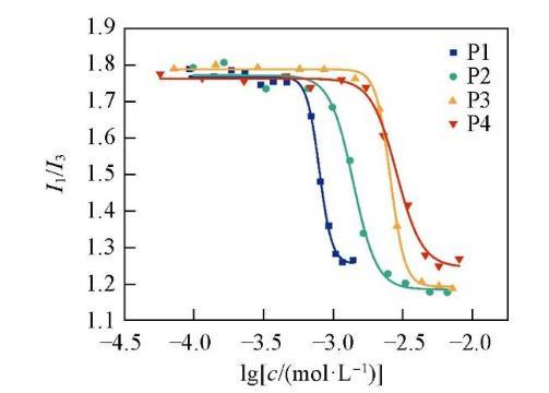
2.3熒光法測定cmc
為進一步研究表面活性劑在水溶液中的聚集行為,利用芘分子穩態熒光光譜法測定cmc.用芘分子的第一發射峰(373 nm)和第三發射峰(384 nm)的熒光強度比(I1/I3)對表面活性劑芘飽和水溶液的濃度對數作圖,突變點即為表面活性劑的臨界膠束濃度。
由圖3可見,當表面活性劑的濃度較低時,I1/I3在1.70——1.80之間波動;當表面活性劑濃度逐漸增加至cmc時,I1/I3值急劇下降,說明表面活性劑分子開始形成膠束,使得芘分子轉移至疏水膠束內,芘分子所處的環境極性發生突變;在較高表面活性劑濃度下,I1/I3值趨于穩定,這是由于芘分子已經完全處于膠束中,所處的環境極性不再發生變化。通過Boltzmann方程擬合得到表面活性劑P1,P2,P3和P4的cmc值分別為7.96×10-4,1.39×10-3,2.57×10-3和2.85×10-3 mol/L。結果表明,隨著聚氧乙烯鏈長度的增加,cmc逐漸增大。采用熒光法測得的cmc與采用表面張力法測得的cmc數值接近且變化趨勢一致。





